A Appendix
A.1 Abiotiek
A.1.1 Additionele figuren en tabellen
A.1.1.1 Waterdiepte
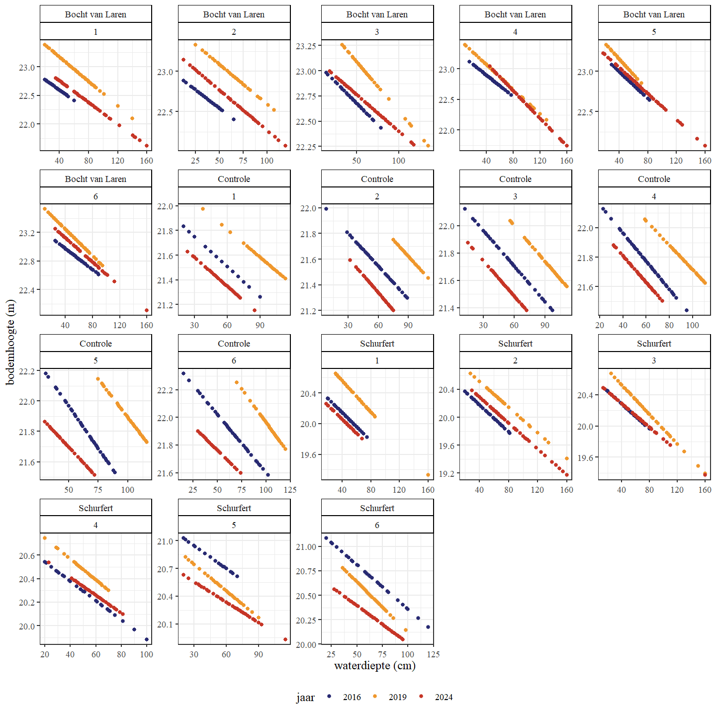
Figuur A.1: Bodemhoogte in functie van waterdiepte per traject. Onderscheid tussen jaren wordt gemaakt adhv verschillende kleuren.
Figuur A.2: Aangepaste bodemhoogte in functie van waterdiepte per traject. Onderscheid tussen jaren wordt gemaakt adhv verschillende kleuren.
A.1.1.2 Substraat
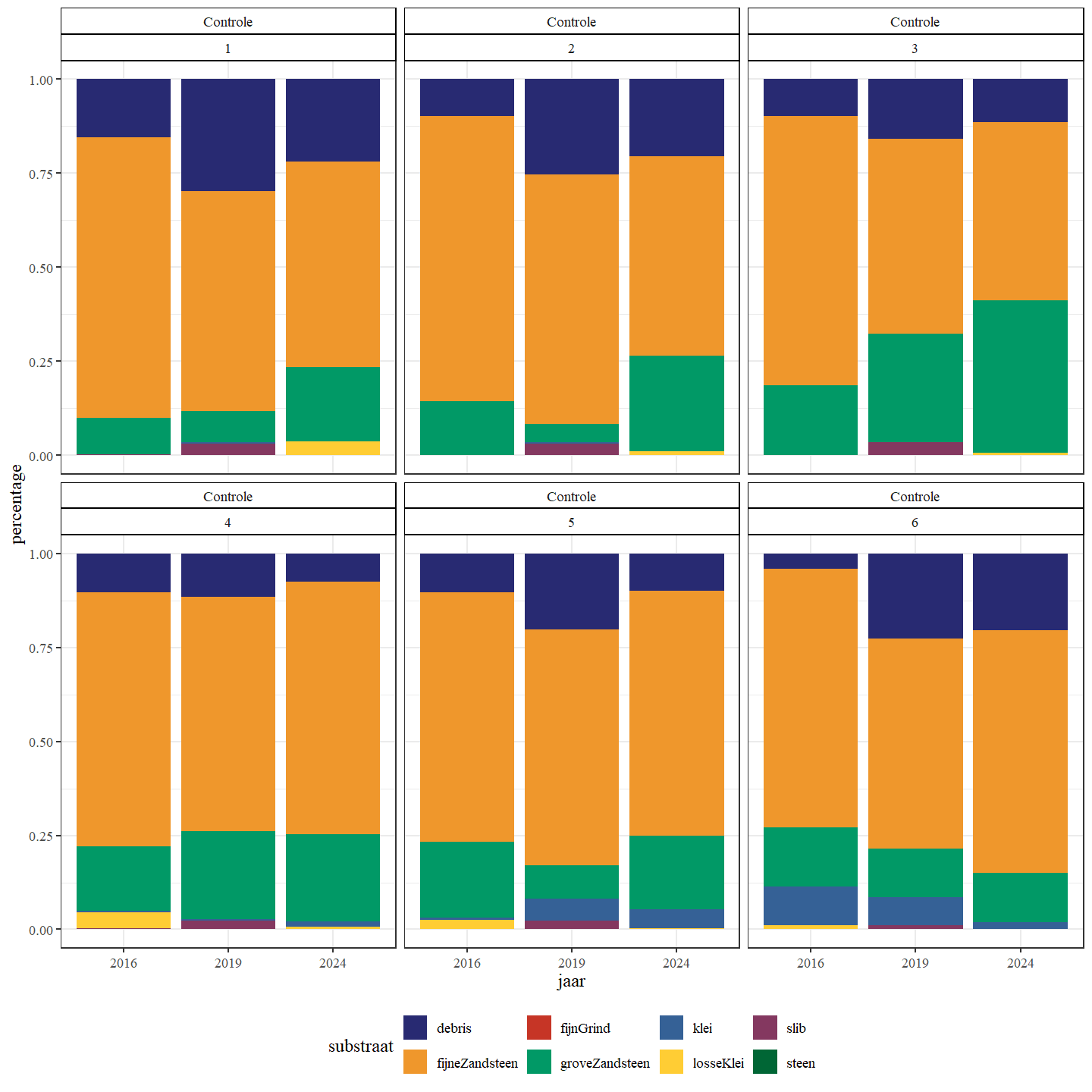
Figuur A.3: Gemiddelde substraatsamenstelling voor de controle sectie.
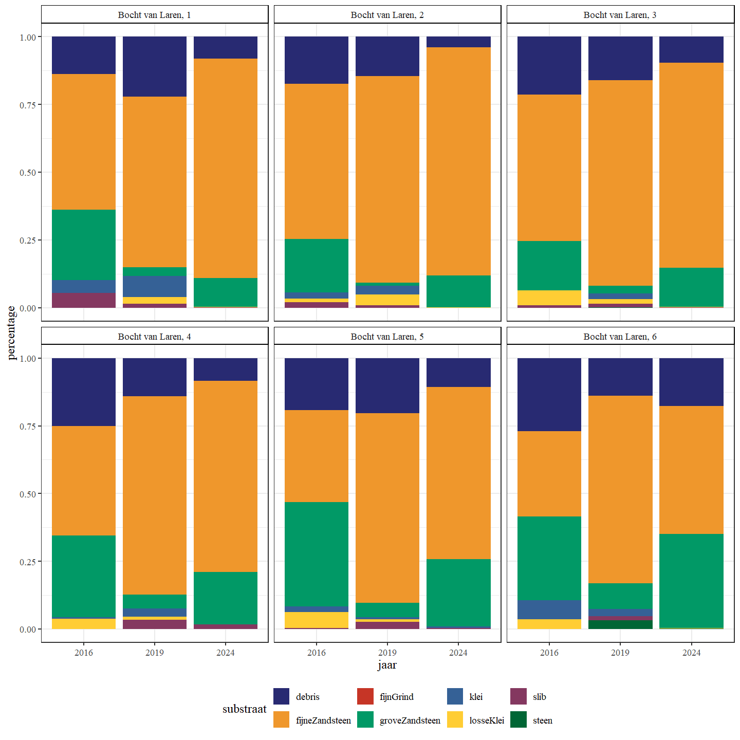
Figuur A.4: Gemiddelde substraatsamenstelling voor de Bocht van Laren sectie.
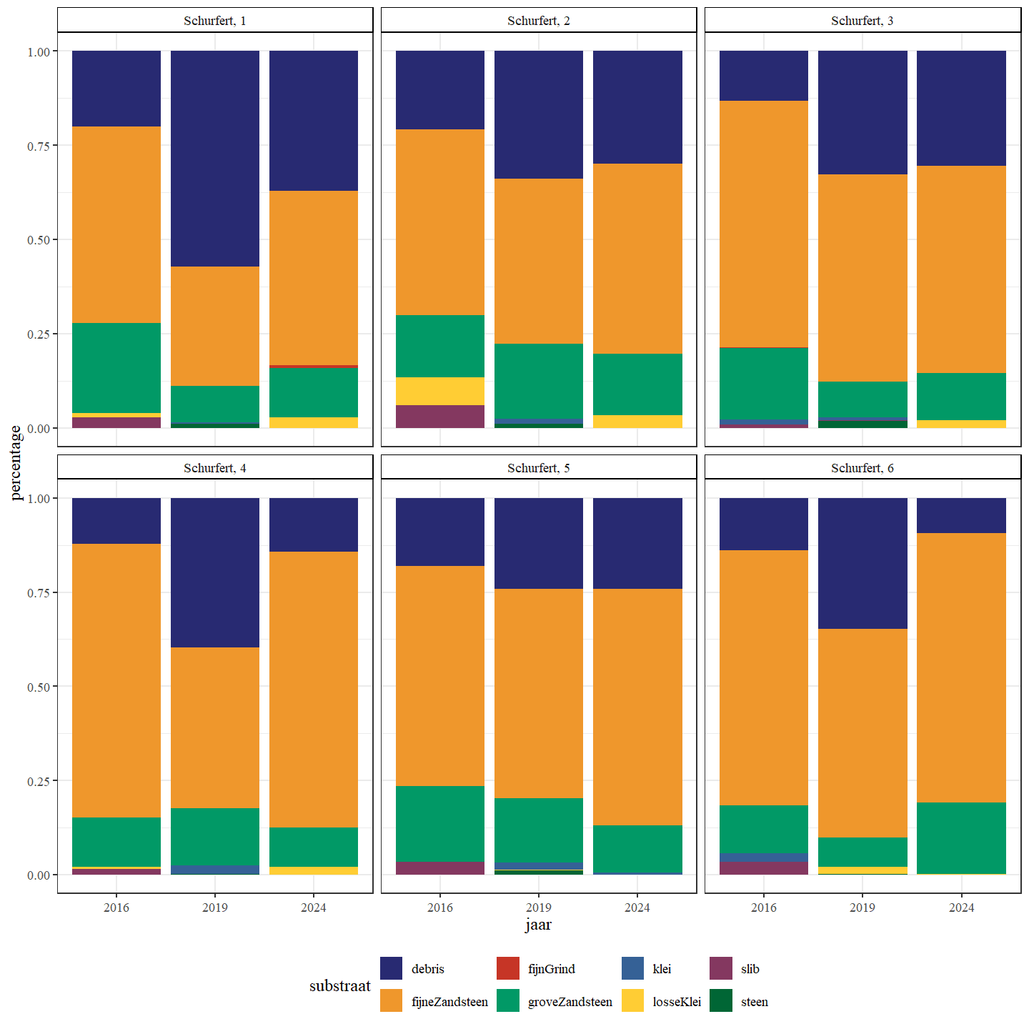
Figuur A.5: Gemiddelde substraatsamenstelling voor de Schurfert sectie.
Figuur A.6: Aandeel losse klei (%) per jaar en sectie.
Figuur A.7: Aandeel debris (%) per jaar en sectie.
Figuur A.8: Variogram van het aandeel debris. Een variogram is een grafiek die wordt gebruikt in de geostatistiek om ruimtelijke variabiliteit te analyseren. Het beschrijft hoe de variabiliteit (of spreiding) tussen waarnemingen verandert naarmate de afstand (x-as: uitgedrukt in meters) tussen de waarnemingen groter wordt. Een onderscheid wordt gemaakt tussen de secties en jaren. De richtingen in de ruimte (dir.hor) die werden onderzocht waren: in de lengterichting (90 graden), loodrecht op de lengterichting (0 graden) en schuin op de lengterichting (45 graden).
Figuur A.9: Aandeel slib (%) per jaar en sectie.
Figuur A.10: Aandeel klei (%) per jaar en sectie.
Figuur A.11: Aandeel fijne zandsteen (%) per jaar en sectie.
Figuur A.12: Variogram van het aandeel fijne zandsteen. Een variogram is een grafiek die wordt gebruikt in de geostatistiek om ruimtelijke variabiliteit te analyseren. Het beschrijft hoe de variabiliteit (of spreiding) tussen waarnemingen verandert naarmate de afstand (x-as: uitgedrukt in meters) tussen de waarnemingen groter wordt. Een onderscheid wordt gemaakt tussen de secties en jaren. De richtingen in de ruimte (dir.hor) die werden onderzocht waren: in de lengterichting (90 graden), loodrecht op de lengterichting (0 graden) en schuin op de lengterichting (45 graden).
Figuur A.13: Aandeel grove zandsteen (%) per jaar en sectie.
Figuur A.14: Variogram van het aandeel grove zandsteen. Een variogram is een grafiek die wordt gebruikt in de geostatistiek om ruimtelijke variabiliteit te analyseren. Het beschrijft hoe de variabiliteit (of spreiding) tussen waarnemingen verandert naarmate de afstand (x-as: uitgedrukt in meters) tussen de waarnemingen groter wordt. Een onderscheid wordt gemaakt tussen de secties en jaren. De richtingen in de ruimte (dir.hor) die werden onderzocht waren: in de lengterichting (0 graden), loodrecht op de lengterichting (90 graden) en schuin op de lengterichting (45 graden).
Figuur A.15: Aandeel steen (%) per jaar en sectie.
Figuur A.16: Aandeel fijn grind (%) per jaar en sectie.
A.1.2 Ruimtelijke voorstelling habitat
A.1.2.1 Waterplanten
Figuur A.17: Ruimtelijke verdeling van het aandeel waterplanten in Schurfert.
Figuur A.18: Ruimtelijke verdeling van het aandeel waterplanten in Bocht van Laren.
Figuur A.19: Ruimtelijke verdeling van het aandeel waterplanten in Controle.
A.1.2.2 Waterplanten (emers)
Figuur A.20: Ruimtelijke verdeling van het aandeel emerse planten in Schurfert.
Figuur A.21: Ruimtelijke verdeling van het aandeel emerse planten in Bocht van Laren.
Figuur A.22: Ruimtelijke verdeling van het aandeel emerse planten in Controle.
A.1.2.3 Bodemhoogte (m)
Figuur A.23: Ruimtelijke verdeling van de bodemhoogte in Schurfert.
Figuur A.24: Ruimtelijke verdeling van de bodemhoogte in Bocht van Laren.
Figuur A.25: Ruimtelijke verdeling van de bodemhoogte in Controle.
Figuur A.26: Ruimtelijke verdeling van de verandering in bodemhoogte in Schurfert van 2024 versus 2019.
Figuur A.27: Ruimtelijke verdeling van de verandering in bodemhoogte in Bocht van Laren van 2024 versus 2019.
Figuur A.28: Ruimtelijke verdeling van de verandering in bodemhoogte in Controle van 2024 versus 2019.
A.1.2.4 Waterdiepte (cm)
Figuur A.29: Ruimtelijke verdeling van de waterdiepte in Schurfert.
Figuur A.30: Ruimtelijke verdeling van de waterdiepte in Bocht van Laren.
Figuur A.31: Ruimtelijke verdeling van de waterdiepte in Controle.
A.2 Biotiek
A.2.1 Visgemeenschap
A.2.1.1 Soortensamenstelling na rivierherstelmaatregelen en sanering knelpunten
| soort | 2016 | 2019 | 2024 | 2016 | 2019 | 2024 | 2016 | 2019 | 2024 | 2016 | 2019 | 2024 |
|---|---|---|---|---|---|---|---|---|---|---|---|---|
| alver | 0 | 0 | 4 | 0 | 0 | 16 | 0 | 0 | 4 | 0 | 0 | 16 |
| amerikaanse hondsvis | 47 | 0 | 191 | 88 | 0 | 821 | 90 | 0 | 466 | 158 | 0 | 1648 |
| baars | 34 | 0 | 0 | 359 | 0 | 0 | 35 | 0 | 0 | 362 | 0 | 0 |
| bermpje | 1144 | 471 | 158 | 2728 | 929 | 371 | 1604 | 720 | 217 | 3843 | 1406 | 515 |
| bittervoorn | 0 | 1 | 3 | 0 | 2 | 5 | 0 | 1 | 3 | 0 | 2 | 5 |
| blankvoorn | 305 | 1 | 53 | 594 | 112 | 1818 | 312 | 1 | 54 | 606 | 112 | 1855 |
| blauwbandgrondel | 380 | 109 | 55 | 552 | 151 | 79 | 442 | 114 | 58 | 614 | 159 | 82 |
| bruine amerikaanse dwergmeerval | 1 | 2 | 0 | 20 | 336 | 0 | 1 | 2 | 0 | 20 | 336 | 0 |
| driedoornige stekelbaars | 17 | 21 | 2 | 18 | 5 | 1 | 17 | 22 | 2 | 18 | 5 | 1 |
| giebel | 85 | 27 | 0 | 3266 | 1220 | 0 | 86 | 29 | 0 | 3279 | 1344 | 0 |
| kolblei | 0 | 0 | 1 | 0 | 0 | 22 | 0 | 0 | 1 | 0 | 0 | 22 |
| kopvoorn | 10 | 15 | 39 | 420 | 1285 | 4630 | 10 | 15 | 39 | 420 | 1285 | 4630 |
| kwabaal | 0 | 0 | 5 | 0 | 0 | 1050 | 0 | 0 | 5 | 0 | 0 | 1050 |
| meerval | 0 | 0 | 1 | 0 | 0 | 90 | 0 | 0 | 1 | 0 | 0 | 90 |
| paling | 27 | 12 | 6 | 6188 | 3361 | 1976 | 27 | 12 | 6 | 6188 | 3361 | 1976 |
| rietvoorn | 3 | 9 | 9 | 10 | 143 | 296 | 3 | 9 | 9 | 10 | 143 | 296 |
| riviergrondel | 1922 | 866 | 869 | 9913 | 3762 | 6811 | 2713 | 1637 | 1109 | 13475 | 6996 | 8689 |
| serpeling | 0 | 0 | 1 | 0 | 0 | 104 | 0 | 0 | 1 | 0 | 0 | 104 |
| snoek | 6 | 1 | 16 | 1189 | 4 | 970 | 6 | 1 | 16 | 1189 | 4 | 970 |
| spiegelkarper | 0 | 0 | 0 | 0 | 0 | 0 | 0 | 0 | 0 | 0 | 0 | 0 |
| tiendoornige stekelbaars | 26 | 1 | 3 | 7 | 1 | 1 | 26 | 1 | 3 | 7 | 1 | 1 |
| vetje | 0 | 3 | 8 | 0 | 2 | 9 | 0 | 3 | 8 | 0 | 2 | 9 |
| winde | 0 | 0 | 2 | 0 | 0 | 344 | 0 | 0 | 2 | 0 | 0 | 344 |
| zonnebaars | 266 | 3 | 21 | 1596 | 51 | 251 | 280 | 3 | 21 | 1665 | 51 | 251 |
| totaal | 4273 | 1542 | 1447 | 26948 | 11364 | 19665 | 5652 | 2570 | 2025 | 31854 | 15207 | 22554 |
| soort | 2016 | 2019 | 2024 | 2016 | 2019 | 2024 | 2016 | 2019 | 2024 | 2016 | 2019 | 2024 |
|---|---|---|---|---|---|---|---|---|---|---|---|---|
| alver | 0 | 0 | 0 | 0 | 0 | 0 | 0 | 0 | 0 | 0 | 0 | 0 |
| amerikaanse hondsvis | 1 | 1 | 376 | 10 | 4 | 1478 | 1 | 1 | 979 | 10 | 4 | 3779 |
| baars | 12 | 0 | 0 | 183 | 0 | 0 | 13 | 0 | 0 | 210 | 0 | 0 |
| bermpje | 62 | 131 | 48 | 167 | 281 | 179 | 65 | 248 | 63 | 177 | 530 | 242 |
| bittervoorn | 0 | 0 | 0 | 0 | 0 | 0 | 0 | 0 | 0 | 0 | 0 | 0 |
| blankvoorn | 79 | 0 | 20 | 147 | 0 | 813 | 91 | 0 | 20 | 169 | 0 | 813 |
| blauwbandgrondel | 25 | 43 | 6 | 48 | 83 | 12 | 26 | 58 | 6 | 49 | 112 | 12 |
| bruine amerikaanse dwergmeerval | 0 | 0 | 0 | 0 | 0 | 0 | 0 | 0 | 0 | 0 | 0 | 0 |
| driedoornige stekelbaars | 2 | 3 | 0 | 2 | 0 | 0 | 2 | 3 | 0 | 2 | 0 | 0 |
| giebel | 23 | 3 | 0 | 1184 | 74 | 0 | 23 | 3 | 0 | 1184 | 74 | 0 |
| kolblei | 0 | 0 | 0 | 0 | 0 | 0 | 0 | 0 | 0 | 0 | 0 | 0 |
| kopvoorn | 0 | 13 | 9 | 0 | 1412 | 1436 | 0 | 14 | 9 | 0 | 1489 | 1436 |
| kwabaal | 0 | 0 | 0 | 0 | 0 | 0 | 0 | 0 | 0 | 0 | 0 | 0 |
| meerval | 0 | 0 | 0 | 0 | 0 | 0 | 0 | 0 | 0 | 0 | 0 | 0 |
| paling | 6 | 5 | 6 | 2317 | 1621 | 1742 | 6 | 5 | 6 | 2317 | 1621 | 1742 |
| rietvoorn | 2 | 3 | 4 | 6 | 50 | 18 | 2 | 3 | 4 | 6 | 50 | 18 |
| riviergrondel | 232 | 202 | 253 | 2002 | 1240 | 2408 | 280 | 296 | 427 | 2413 | 1821 | 4079 |
| serpeling | 0 | 0 | 0 | 0 | 0 | 0 | 0 | 0 | 0 | 0 | 0 | 0 |
| snoek | 2 | 1 | 11 | 584 | 52 | 624 | 2 | 1 | 11 | 584 | 52 | 624 |
| spiegelkarper | 0 | 0 | 1 | 0 | 0 | 1665 | 0 | 0 | 1 | 0 | 0 | 1665 |
| tiendoornige stekelbaars | 2 | 0 | 6 | 2 | 0 | 2 | 2 | 0 | 7 | 2 | 0 | 2 |
| vetje | 0 | 6 | 0 | 0 | 7 | 0 | 0 | 6 | 0 | 0 | 7 | 0 |
| winde | 0 | 0 | 0 | 0 | 0 | 0 | 0 | 0 | 0 | 0 | 0 | 0 |
| zonnebaars | 7 | 1 | 6 | 36 | 18 | 49 | 7 | 1 | 6 | 36 | 18 | 49 |
| totaal | 455 | 412 | 746 | 6688 | 4842 | 10426 | 520 | 639 | 1539 | 7159 | 5778 | 14461 |
| soort | 2016 | 2019 | 2024 | 2016 | 2019 | 2024 | 2016 | 2019 | 2024 | 2016 | 2019 | 2024 |
|---|---|---|---|---|---|---|---|---|---|---|---|---|
| alver | 0 | 0 | 0 | 0 | 0 | 0 | 0 | 0 | 0 | 0 | 0 | 0 |
| amerikaanse hondsvis | 0 | 2 | 11 | 0 | 17 | 126 | 0 | 2 | 11 | 0 | 17 | 126 |
| baars | 0 | 0 | 0 | 0 | 0 | 0 | 0 | 0 | 0 | 0 | 0 | 0 |
| bermpje | 834 | 402 | 277 | 2627 | 976 | 683 | 954 | 582 | 370 | 3026 | 1416 | 875 |
| bittervoorn | 0 | 9 | 4 | 0 | 20 | 10 | 0 | 10 | 4 | 0 | 22 | 10 |
| blankvoorn | 0 | 24 | 15 | 0 | 45 | 640 | 0 | 39 | 15 | 0 | 67 | 640 |
| blauwbandgrondel | 188 | 68 | 159 | 234 | 125 | 321 | 211 | 104 | 173 | 263 | 178 | 351 |
| bruine amerikaanse dwergmeerval | 9 | 0 | 0 | 336 | 0 | 0 | 9 | 0 | 0 | 336 | 0 | 0 |
| driedoornige stekelbaars | 131 | 576 | 224 | 74 | 226 | 117 | 159 | 5230 | 764 | 85 | 1883 | 383 |
| giebel | 125 | 14 | 6 | 658 | 1011 | 124 | 126 | 14 | 6 | 663 | 1011 | 124 |
| kolblei | 0 | 0 | 0 | 0 | 0 | 0 | 0 | 0 | 0 | 0 | 0 | 0 |
| kopvoorn | 0 | 13 | 97 | 0 | 475 | 7680 | 0 | 13 | 97 | 0 | 475 | 7680 |
| kwabaal | 0 | 0 | 5 | 0 | 0 | 1208 | 0 | 0 | 5 | 0 | 0 | 1208 |
| meerval | 0 | 0 | 0 | 0 | 0 | 0 | 0 | 0 | 0 | 0 | 0 | 0 |
| paling | 7 | 0 | 9 | 3338 | 0 | 3368 | 7 | 0 | 10 | 3338 | 0 | 3812 |
| rietvoorn | 0 | 0 | 6 | 0 | 0 | 89 | 0 | 0 | 6 | 0 | 0 | 89 |
| riviergrondel | 555 | 329 | 1315 | 2897 | 2370 | 10538 | 619 | 435 | 1510 | 3209 | 2961 | 12335 |
| serpeling | 0 | 0 | 1 | 0 | 0 | 8 | 0 | 0 | 1 | 0 | 0 | 8 |
| snoek | 0 | 0 | 6 | 0 | 0 | 3284 | 0 | 0 | 6 | 0 | 0 | 3284 |
| spiegelkarper | 0 | 0 | 0 | 0 | 0 | 0 | 0 | 0 | 0 | 0 | 0 | 0 |
| tiendoornige stekelbaars | 41 | 39 | 3 | 32 | 17 | 2 | 42 | 79 | 3 | 32 | 34 | 2 |
| vetje | 2 | 2 | 3 | 3 | 4 | 3 | 2 | 2 | 3 | 3 | 4 | 3 |
| winde | 0 | 0 | 0 | 0 | 0 | 0 | 0 | 0 | 0 | 0 | 0 | 0 |
| zonnebaars | 125 | 2 | 18 | 395 | 39 | 270 | 137 | 2 | 18 | 433 | 39 | 270 |
| totaal | 2017 | 1480 | 2159 | 10594 | 5325 | 28471 | 2266 | 6512 | 3002 | 11388 | 8107 | 31200 |
Figuur A.38: Procentuele verdeling van de aantallen, biomassa en geschatte populatiegrootte (N) per vissoort in de verschillende secties voor de verschillende jaren (rest = overige vissoorten).
A.2.1.2 Lengteverdeling
Figuur A.39: Relatie tussen gewicht en lengte per vissoort.
Figuur A.40: Lengteverdeling voor de verschillende gevangen soorten
Figuur A.41: Lengteverdeling voor de verschillende gevangen soorten
Figuur A.42: Lengteverdeling voor de verschillende gevangen soorten
Figuur A.43: Cumulatieve lengteverdeling voor de verschillende gevangen soorten in Schurfert.
Figuur A.44: Cumulatieve lengteverdeling voor de verschillende gevangen soorten in Bocht van Laren.
Figuur A.45: Cumulatieve lengteverdeling voor de verschillende gevangen soorten in Controle.
A.2.2 Gemeenschapsstructuur
Figuur A.46: Principale Coördinaten Analyse (PCoA) van de visgemeenschapsstructuur in 2016.
Figuur A.47: Principale Coördinaten Analyse (PCoA) van de visgemeenschapsstructuur in 2019.
Figuur A.48: Principale Coördinaten Analyse (PCoA) van de visgemeenschapsstructuur in 2024.
A.3 Protocol habitatbeschrijving
A.3.1 Onderwerp
A.3.1.2 Doelstelling en toepassingsgebied
Doelstelling: Beschrijven van de fysische toestand van een waterloop op een representatieve wijze door gebruik te maken van nieuwe of bestaande, stationaire transecten. De fysische toestand wordt beschreven adhv:
- stroomsnelheid
- waterdiepte
- substraat
- cover
Toepassingsgebied: Waadbare waterlopen waarbij op regelmatige basis verschillende fysische parameters bemonsterd moeten worden.
A.3.2 Beperkingen van het protocol
Begaanbaar:
- De te bemonsteren waterloop dient over de volledige lengte en breedte begaanbaar te zijn.
- Metingen zullen gebeuren bij droog-weer-omstandigheden waarbij geen significante debietsschommelingen optreden
A.3.3 Principe
De metingen dienen representatief te zijn voor de fysische toestand van de waterloop. Daarom worden het aantal metingen en de proefopzetverdeling eenduidig vastgelegd volgens een duidelijk bemonsteringsschema.
A.3.4 Vereiste competenties
De basisvaardigheden voor het uitvoeren van dit protocol zijn:
- het kunnen gebruiken van een Trimble GPS-toestel
- het kunnen herkennen en identificeren van verschillende substraatsamenstellingen
- het kunnen gebruiken van stroomsnelheidsmeters.
A.3.6 Werkwijze
A.3.6.1 Uitvoering
A.3.6.1.1 Installeren van nieuwe transecten of het lokaliseren van bestaande transecten
A.3.6.1.1.1 Installeren van nieuwe transecten
Riviersectie van 600 meter = sectie
Om voldoende representatief te zijn dient een riviersectie 600 meter te zijn.
Concreet: Een startpunt van de sectie wordt geselecteerd en GPS coördinaten worden opgeslagen.
Sub-riviersectie van 50 meter = traject
Een sectie wordt ingedeeld in trajecten van 50 meter elk, waarbij afwisselend een traject wordt opgemeten aan de hand van cellen (zie verder) en een traject wordt overgeslagen. Uiteindelijk worden er per sectie van 600 meter zes trajecten van 50 meter opgemeten die niet aan elkaar grenzen.
Concreet: Er wordt gestart aan het beginpunt van de sectie en men stapt de rivier af richting eindpunt (ie 600 meter verder). Elk 50 meter begrenst men een nieuw traject en de GPS coördinaten worden opgeslagen.
Sub-sub-riviersectie van 3,33 meter = transect
Om een gedetailleerd beeld te krijgen van de vorm van de rivier wordt het 50 m traject opgedeeld in transecten van 3,33 m. Per 50 m traject worden bijgevolg 15 transecten gecreëerd. Vooraleer een nieuw transect wordt begrensd, dient het vorige transect afgewerkt te zijn. In tegenstelling tot de secties en trajecten worden de transecten daarom niet op voorhand begrensd. Het bepalen van de transecten wordt daarom besproken onder de sectie cellen en meetpunten die handelt over de eigenlijke metingen.
A.3.6.1.1.2 Lokaliseren van bestaande transecten
Om een goede vergelijking doorheen de tijd te bewerkstelligen dienen dezelfde meetpunten bemonsterd te worden. Het is onmogelijk om exact dezelfde locaties terug te vinden maar het is belangrijk om dit zoveel mogelijk na te streven.
Concreet: Eerst wordt de meest stroomafwaartse grens van de meest stroomafwaartse sectie bepaald mbv opgeslagen coördinaten. De grenzen van het meest stroomafwaarts gelegen traject worden bepaald. De grenzen van de volgende trajecten van de betreffende sectie worden bepaald. Dit wordt herhaald voor de andere secties. Na het begrenzen van alle trajecten van alle secties, keert men terug naar het eerste traject van de eerste sectie en begint men met het begrenzen van de cellen (zie volgende).
A.3.6.1.2 Cellen en meetpunten
Zoals eerder aangegeven bevindt er zich binnen een traject om de 3,33 meter een nieuw transect dat wordt bepaald nadat het vorige transect volledig is afgewerkt.
Concreet: Het begin van het transect wordt gekozen op het beginpunt van het traject en het einde van het transect bevindt zich 3,33 meter verder in de lengterichting van de rivier stroomopwaarts. Een denkbeeldige lijn, loodrecht op de lengterichting van de rivier, wordt getrokken van de rechteroever naar de linkeroever. Deze denkbeeldige lijn wordt opgedeeld in 5 delen of cellen van gelijke breedte (variabel in die mate dat de rivierbreedte variabel is). Dit is het eerste transect. Het volgende transect zal beginnen op het einde van het vorige transect. Elk transect heeft dus 5 cellen met een lengte van 3,33 meter en gelijke breedte. Door deze werkwijze ontstaat een virtueel raster van cellen waarbinnen alle metingen gebeuren.
GPS coördinaten worden genomen in het centrum van iedere cel (=meetpunt). Kies voor een duidelijke labeling van de coördinaten met een volgnummer die overeenkomt met de stroomopwaartse linkeroever-naar-rechteroever beweging van de monitoring. Noteer het gebruikte coördinatenreferentiesysteem (EPSG).
Voorbeeld invullen coördinaten. EPSG is 31370 in dit voorbeeld. traject trimblecode X Y beschrijving schurfert1 1 203752.077 186898.040 linkeroever schurfert1 2 203752.531 186899.161 midden schurfert1 3 203753.093 186900.469 midden schurfert1 4 203755.065 186901.521 midden schurfert1 5 203758.073 186903.435 rechteroever schurfert1 6 203753.482 186899.213 linkeroever De stroomsnelheid en diepte worden opgemeten in het centrum van iedere cel (=meetpunt).
Het habitat (uitgedrukt als een percentage van verschillende klassen) wordt opgemeten voor de volledige cel.
Figuur A.49: Meetmethode voor 1 transect

Figuur A.50: Cellenraster waarbinnen de veldmetingen gebeuren (links), zoals bijvoorbeeld het opmeten van de stroomsnelheid met behulp van een stroomsnelheidsmeter (rechts).
A.3.6.1.3 Op te meten variabelen
A.3.6.1.3.1 Overzicht variabelen
| Variabelen | Indeling | Eenheid | Locatie | Methode |
|---|---|---|---|---|
| Stroom- snelheid | Bodem | m/s | Celmidden. 10 cm boven de bodem | Marsh‐McBirney FloMate, model 2000, Nauwkeurigheid: 0,01 m/s |
| Stroom- snelheid | Vegetatie | m/s | Celmidden. 10 cm boven de vegetatie | Marsh‐McBirney FloMate, model 2000, Nauwkeurigheid: 0,01 m/s |
| Diepte | Waterkolom | m | Celmidden | Ijzeren pijlstok. Nauwkeurigheid 0,01m |
| Breedte rivier | m | Thv. celmidden | Lintmeter; nauw-keurigheid 0.01 m | |
| Cover | Submerse en moerasvegetatie | % | Volledige cel | visueel |
| Cover | Oevervegetatie | % | Op beide oevers | visueel |
| Cover | Houtig of stenig | % | Op beide oevers | visueel |
| Cover | Houtig of stenig | % | Volledige cel | visueel |
| Cover | Holle oever | % | Beide oevers | visueel |
| Substraat- samenstelling | slib | % | Volledige cel | visueel |
| Substraat- samenstelling | zand | % | Volledige cel | visueel |
| Substraat- samenstelling | klei | % | Volledige cel | visueel |
| Substraat- samenstelling | fijn zandsteen | % | Volledige cel | visueel |
| Substraat- samenstelling | grof zandsteen | % | Volledige cel | visueel |
| Substraat- samenstelling | steen | % | Volledige cel | visueel |
| Substraat- samenstelling | fijn grind | % | Volledige cel | visueel |
A.3.6.1.3.2 Template field sheets
| Variabele | Beschrijving | Format |
|---|---|---|
| Datum | datum van meting | d/m/y |
| Deelgebied | deel van 600 meter = sectie | naam |
| Traject | deel van 50 meter | 1 tot 6 |
| Transect | deel van 3.33 meter | 1 tot 15 |
| Cel | onderdeel van transect | 1 tot 5 |
| Stroomsnelheid | in elk celmidden | in m/s |
| Diepte | in elk celmidden | in m |
| Trimblecode | representatieve code GPS | lambert Belgium; epsg 31370 |
| Cover Holle oever | aandeel oeverlengte; enkel voor cel 1 en 5 | % |
| Cover Waterplant pak | % | |
| Cover Waterplant dun | % | |
| Cover Waterplant emers | % | |
| Cover Stenen | % | |
| Cover Hout | % | |
| Cover Ander | % | |
| Cover Riparian houtig | % | |
| Cover Riparian grazig | % | |
| Beschaduwing | % | |
| losse klei substraat | substraat samen 100 % | % |
| debris substraat | substraat samen 100 % | % |
| slib substraat | substraat samen 100 % | % |
| zand substraat | substraat samen 100 % | % |
| klei substraat | substraat samen 100 % | % |
| fijn zandsteen substraat | substraat samen 100 % | % |
| grof zandsteen substraat | substraat samen 100 % | % |
| steen substraat | substraat samen 100 % | % |
| fijn grind | substraat samen 100 % | % |
A.3.6.1.3.3 Stroomsnelheid
Stroomsnelheid wordt gemeten op volgende dieptes telkens in het midden van de cel:
- 10 cm boven bodem (V1)
- 10 cm boven dik pakket submerse waterplanten (V2): hou het voetje van stroomsnelheidsmeter net boven de waterplanten
Figuur A.51: Meten van de stroomsnelheid.
A.3.6.1.3.4 Diepte
Diepte wordt gemeten op volgende wijzen:
- Van bodem tot wateroppervlakte (D1)
- Van de top van het dik pakket submerse waterplanten tot wateroppervlakte (D2)
Opmerking: als diepte <10 cm dan wordt diepte genoteerd als: /
Figuur A.52: Meten van de diepte.
A.3.6.1.3.5 Rivierbreedte
De rivierbreedte van een bepaald traject wordt telkens gemeten thv de celmiddens.
A.3.6.1.3.6 Cover
Onder cover verstaan we alles waaronder, waarop en waartussen een vis beschutting vindt. Alle cover moet vanuit het standpunt van de vis bekeken worden; onderscheid houtig grazig is bv enkel belangrijk ifv de schuilmogelijkheden voor vis.
| Cover | Specificatie | Te meten |
|---|---|---|
| Holle oever | %L | |
| Waterplant | A pak | %Opp |
| Waterplant | B dun | %Opp |
| Waterplant | C em | %Opp |
| Stenen | %Opp | |
| Hout | %Opp | |
| Ander | %Opp | |
| Riparian | Houtig | %Opp |
| Riparian | Grazig | %L |
A.3.6.1.3.7 Holle-oever
Het percentage aandeel lengte holle oever langs beide oevers (ie rechterover cel 1 en linkeroever cel 5) wordt bepaald voor de hele lengte (3,33) van de desbetreffende cel. We spreken pas van een holle oever wanneer je je voet zeker tot aan je wreef/enkels kunt wegmoffelen (dus niet enkel tenen).
Figuur A.53: Meten van de lengte van de holle oever
A.3.6.1.3.8 Waterplanten
Voor elk type wordt het procentueel aandeel bepaald (x: niet helemaal duidelijk voor mij hoe percentages hier werken)
- Type dik (A):
dik pakket
veel cover onder en/of tussen
- Type dun (B):
dun of weinig dens
weinig cover
- Type emers (C):
- emerse vetatie
- planten die wortelen in bodem en boven wateroppervlak uitsteken (bv. riet)
Figuur A.54: Meten van de cover van de waterplanten pak
Figuur A.55: Meten van de cover van de waterplanten dun
Figuur A.56: Meten van de cover van de waterplanten emerse
A.3.6.1.3.9 Individuele items
We maken een onderscheid tussen: (x: opnieuw aandeel tov wat?)
Cover Stenen
Grote stenen waarachter (waaronder) vissen beschutting kunnen vinden
Figuur A.57: Meten van de steen cover
Cover Hout
Grof hout = Coarse woody debris
Figuur A.58: Meten van de hout cover
Cover Ander
Ander materiaal dan stenen of hout
Figuur A.59: Meten van de ander cover
A.3.6.1.3.10 Cover inhangend
Ook beschreven als riparian cover. alles wat meer dan 5cm in water hangt; bij onderscheid grazig/houtig is vooral de structuur voor de vis belangrijk: houtige cover vormt een grote waaier over het water (ahw. een houtige holle oever), terwijl grazige cover de oever beperkt verlengt (een tiental cm). Een inhangend dik pak bramen die een halve meter in het water hangt, valt dus onder houtig, terwijl een paar klimopranken die tien cm in het water hangen, onder grazige cover te catalogeren zijn
Cover houtig
Figuur A.60: Meten van de houtige inhangende cover
Cover grazig
Figuur A.61: Meten van de grazige inhangende cover
A.3.6.1.3.12 Substraat
Alles wat plat op de bodem ligt; wat dus door een vis kan gebruikt worden voor eiafzet/ om voedsel tussen te zoeken/… maar waar een vis zich niet kan in verschuilen, tenzij hij zich ingraaft. Substraat onzichtbaar? Snorkelen/Core of Van Veen sample nemen; vanaf een diepte van meer dan 1 m wordt substraatbepaling vaak moeilijk. Anderzijds zal het substraat bij hogere dieptes meestal slib/leem zijn en bovendien ook vrij homogeen (grotere diepte => lagere stroomsnelheid => homogener substraat) => minder samples nodig:
| Substraat | Specificaties | Te meten |
|---|---|---|
| slib | Ø < 4 µm | %Opp |
| zand | 63 µm < Ø < 2 mm | %Opp |
| klei | Ø < 4 µm | %Opp |
| fijn zandsteen | %Opp | |
| grof zandsteen | %Opp | |
| steen | 32 mm < Ø | %Opp |
| fijn grind | 2 mm < Ø < 8 mm | %Opp |
A.3.7 Kwaliteitszorg
- Alle velden van de field sheets dienen ingevuld te worden behalve wanneer een percentage wordt gevraagd en de betreffende klasse niet aanwezig zijn. In dat geval kan de cel leeggelaten worden aangezien dit wordt beschouwd als een 0 waarde.
- Consequente labeling voor verzameling abiotische en biotische data en coördinateninvoer is belangrijk om resultaten te linken.
A.4 Protocol afvissingen
A.4.1 Benodigdheden
Benodigdheden afzetten trajecten
Bloknetten
Betonijzers of lange piketten / bamboestokken
Benodigdheden elektrisch vissen
Benodigdheden opmeten vissen (lengte en gewicht)
Field sheets
4 X 4 wagen omdat de toegankelijkheid van sommige trajecten
A.4.2 Werkwijze
De visdensiteit wordt bepaald volgens de depletiemethode. Die methode voorspelt hoeveel vissen er werkelijk in het traject voorkomen, ze houdt rekening met de vissen die niet werden gevangen. De densiteit, evenals het 95% betrouwbaarheidsinterval van de densiteit, wordt uitgedrukt in aantal per hectaren. De trajecten waarin de visdensiteit wordt bepaald zijn hieronder weergegeven. Tijdens de bevissingen worden de trajecten afgezet met bloknetten die worden vastgezet m.b.v. betonijzers of lange piketten / bamboestokken. Dezelfde zes 50 m trajecten waarvan het fysisch habitat wordt opgemeten worden bevist volgens de depletiemethode (3 x). Dit betekent dat er in de Zwarte Beek als volgt wordt bevist:
Zes 50 m trajecten in deelgebied ‘schurfert’ volgens depletie = 300 m (x3)
Zes 50 m trajecten in ‘controle’ volgens depletie = 300 m (x3)
Zes 50 m trajecten in deelgebied ‘bocht van laren’ volgens depletie = 300 m (x3)
Omdat iedere sectie 600 meter is en er in totaal slechts 300 meter wordt afgevist verdeeld over 6 trajecten, zal er telkens 50 meter tussen elk traject zitten.
De begin- (stroomafwaarts) en eindcoördinaten (stroomopwaarts) van de grenzen zijn voorhanden (https://rpubs.com/spbruneel-INBO/maps_zwarte_beek: groen: habitat 2019) en worden gebruikt om elk traject af te lijnen en af te zetten met bloknetten.
Daarna vindt het elektrisch vissen plaats van begin naar eind en dit 3-maal.
De file Template_vis.xlsx wordt ingevuld en krijgt de naam sectie trajectnummer.xlsx.
Per traject wordt er dus 1 file ingevuld.
Sectie is “bocht van laren”, “controle”, “schurfert”, en trajectnummer gaat van 1 tot 6.
Voor elke van de 3 afvissingen wordt een nieuw tabblad ingevuld.
Zorg ervoor dat de template niet overschreven wordt maar creëer telkens een nieuwe file.
De kolommen die ingevuld moeten worden zijn:
datum in %d/%m/%y
vissoort (Nederlandstalige naam)
aantal (eenheidsloos)
lengte (mm)
gewicht (gram)
opmerkingen
Door de hermeandering bleek het in het veld niet altijd mogelijk om alle delen van een traject elektrisch te bevissen. Ondoorwaadbare diepe kuilen konden niet elektrisch bevist worden en daarom werden er, vanaf 2024, per traject ook telkens twee schietfuiken van 45 cm hoogte geplaatst. Deze werden telkens geplaatst na het elektrisch afvissen (rond 13h) en de volgende ochtend bij aankomst (rond 9h) uit het water gehaald. Soortnaam, lengte en gewicht van de fuikvangsten werd bepaald en een onderscheid werd gemaakt tussen de stroomafwaartse en stroomopwaartse fuik. Een beschrijving van de locatie waar de fuik werd geplaatst, werd voorzien.
De fuiken komen in bepaalde mate tegemoet aan de verlaagde vangstefficiëntie in de hermeanderde trajecten, maar blijven echter onvoldoende om de vangstbias (i.e. trajecten met meer diepe kuilen worden minder goed bevist) weg te werken. Daarenboven, is er een merkbaar verschil in de vangsten van verschillende personen wat wellicht het gevolg is van een verschil in ervaring en techniek. Het wordt daarom aangeraden om dezelfde rollen toe te kennen aan dezelfde personen bij het afvissen of om op zijn minst de rolverdeling voor de volgorde van afvissingen constant te houden (bv. persoon A vist (i.e. hanteert de spoel) altijd eerst, persoon B altijd als tweede en persoon altijd als laatste). Daarnaast wordt aangeraden om telkens neer te schrijven bij de opmerkingen wie de visser van dienst was.
Er wordt aangeraden dat de vissers zich eerst een beeld scheppen van de verschillende kuilen in het af te vissen traject. Plotse kuilen en moeilijk begaanbare stukken verlagen de vangstefficiëntie aanzienlijk waardoor de tweede afvissing onverwacht hoge vangsten oplevert.
Samengevat veroorzaken verschillende zaken variabiliteit in de vangsten:
Wezenlijke verschillen in visgemeenschap in tijd en ruimte (doelstelling om te kwantificeren)
Vangstefficiëntie die afhankelijk is van de toestand van het terrein (bv. meer kuilen = lagere vangstefficiëntie)
Persoonlijke verschillen te wijten aan techniek en algemene ervaring
Inzicht in het terrein (tijdelijke en locatiespecifieke ervaring)
Interacties van bovenstaande
Bruneel, S., et. al. (2026). 10.21436/inbor.141733221
